If you have a problem or need to report a bug please email : support@dsprobotics.com
There are 3 sections to this support area:
DOWNLOADS: access to product manuals, support files and drivers
HELP & INFORMATION: tutorials and example files for learning or finding pre-made modules for your projects
USER FORUMS: meet with other users and exchange ideas, you can also get help and assistance here
NEW REGISTRATIONS - please contact us if you wish to register on the forum
Users are reminded of the forum rules they sign up to which prohibits any activity that violates any laws including posting material covered by copyright
Lost with a scientific article about allpass
3 posts
• Page 1 of 1
Lost with a scientific article about allpass
I'm lost with this scientific article. Someone could help ?
The article talk about another type of allpass.
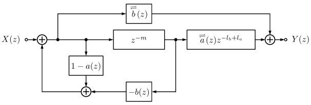
I try to make one in flowstone but i don't understand what mean a(z)z^-lb+la in this image.
Any idea what it is ? delay, filter, multiplication ??
Thanks for any idea !
The article is : Frequency-Dependent Schroeder Allpass Filters by Sebastian J. Schlecht
https://www.mdpi.com/2076-3417/10/1/187
The article talk about another type of allpass.
I try to make one in flowstone but i don't understand what mean a(z)z^-lb+la in this image.
Any idea what it is ? delay, filter, multiplication ??
Thanks for any idea !
The article is : Frequency-Dependent Schroeder Allpass Filters by Sebastian J. Schlecht
https://www.mdpi.com/2076-3417/10/1/187
- Attachments
-
- Allpass.png (12.01 KiB) Viewed 28418 times
- Tepeix
- Posts: 361
- Joined: Sat Oct 16, 2021 3:11 pm
Re: Lost with a scientific article about allpass
la and lb are the degrees of a(z) and b(z), respectively. In the examples given both are equal to two, so z^-lb+la = 1, you can ignore that factor in that case. (If you choose different degrees for a(z) and b(z), then you have to add an extra delay of (lb - la) samples.)
I played a bit with the frequency dependent Schroeder allpass filter as proposed in section 3 of the paper. It is indeed allpass, but it can get unstable very easily, so I am not sure it is a great help.
I played a bit with the frequency dependent Schroeder allpass filter as proposed in section 3 of the paper. It is indeed allpass, but it can get unstable very easily, so I am not sure it is a great help.
-

martinvicanek - Posts: 1334
- Joined: Sat Jun 22, 2013 8:28 pm
Re: Lost with a scientific article about allpass
Thanks !! So an additional delay and maybe the first delay could also change.
I try some value but could only approach an allpass. Will try again.
I was just coming to the conclusion (without certainty
) that every latency except detection reconstruction and fir could be seen as an allpass. A delay is an allpass, A filter is not but his latency might always be the same as a sum of allpass i suppose.
But seeing the curve phase of allpass, i begin to thing that we could not get any curve that we want..
Also i'm not 100% sure but from what i measure a 3th allpass have the same effect than a 2th + 1th in series.
So a lot of uncertainty for now.
But that's why i begin to search if there's other type of allpass that could give different phase curve..
Not sure what would be the purpose of those other curve maybe we could get anything we want with classic allpass but wanted to try..
I also find this one : https://medium.com/analytics-vidhya/com ... 177c71078f

But it doesn't change the curve of a more classic allpass without non linearity..
I try some value but could only approach an allpass. Will try again.
I was just coming to the conclusion (without certainty
But seeing the curve phase of allpass, i begin to thing that we could not get any curve that we want..
Also i'm not 100% sure but from what i measure a 3th allpass have the same effect than a 2th + 1th in series.
So a lot of uncertainty for now.
But that's why i begin to search if there's other type of allpass that could give different phase curve..
Not sure what would be the purpose of those other curve maybe we could get anything we want with classic allpass but wanted to try..
I also find this one : https://medium.com/analytics-vidhya/com ... 177c71078f

But it doesn't change the curve of a more classic allpass without non linearity..
- Tepeix
- Posts: 361
- Joined: Sat Oct 16, 2021 3:11 pm
3 posts
• Page 1 of 1
Who is online
Users browsing this forum: No registered users and 40 guests